What Is X-ray reflectometry (XRR)?
X-ray reflectometry is a non-destructive X-ray characterization technique that is used to understand top layer film thicknesses, densities and interfacial roughness of film stacks whose approximate chemistries and thicknesses are known.
XRR is able to characterize a wide range of measurable film types, such as metallic, dielectric and transparent films.
Non-Destructive Measurement
Determines top-layer film thickness, density, and interfacial roughness without altering or damaging the sample.
High Sensitivity & Precision
Optimized for thin films, including metallic, dielectric, and transparent films, with sub-nanometer roughness resolution.
Layer Stack Analysis
Enables modeling of multilayer films and complex stacks to provide accurate insights into the top layers' structure and density.
Why Use XRR?
- High-Level Advantages (e.g., non-destructive testing and high sensitivity).
- XRR allows for characterization of the properties of the top layer stacks of a material.
Use XRR instead of TEM when the sample cannot be altered/destroyed. XRR is non-destructive in nature and does not take the intensive sample preparation needed for TEM analysis.
Advanced Instrumentation
Rigaku SmartLab and XTRAIA MF-3000 enable high-energy X-rays, wafer mapping, and simultaneous XRR and EDXRF analysis for thickness, density, and elemental composition.
Versatile Sample Handling
Supports wafers up to 300 mm and requires smooth, flat surfaces (<2 nm roughness) for accurate results.
Optimized Scans and Modeling
Covalent experts optimize scans and provide advanced modeling to interpret difficult layer stacks and complex film structures.
Working Principle
In X-ray reflectometry (XRR analysis) an X-Ray source supplies a high-brilliance beam of X-rays which reflect off a flat surface at very low incident angles.
The XRR system then measures the intensity of the X-rays reflected in the specular direction (where the reflected angle is equal to the incident angle). If the interface between layers or between a layer and the substrate is not perfectly sharp and smooth, the reflected intensity will deviate from that predicted by the law of Fresnel reflectivity.
The deviations of the X-ray reflectometry can then be analyzed to obtain the density profile of the interface normal to the surface and modeling can be used to determine layer thicknesses, densities, and interfacial roughnesses.
Equipment Used for XRR:
Rigaku XTRAIA MF-3000
- Covalent has a 9kW rotating anode Rigaku SmartLab that allows for higher energy X-rays than other labs.
- The Rigaku XTRAIA MF-3000 has both XRR and EDXRF capabilities allowing elemental analysis as well as thickness, density, and roughness information on the same location on a wafer as well as wafer mapping.

Key Differentiators
- XRR is beneficial for semiconductor industries.
- Within the semiconductor industry, XRR allows for better understanding of film growth and deposition.
Strengths
- XRR is an invaluable tool for better understanding the top layers of materials. It is a non-destructive way of understanding the thickness, density and roughness of film stacks.
- XRR is also able to characterize a wide range of measurable film types, such as metallic, dielectric and transparent films.
- XRR’s non-destructive nature allows for samples to be characterized and returned for future processing which may not be possible using other methods.
Limitations
- The chemistry of the material and approximate film thicknesses is necessary to perform XRR modeling. A completely unknown sample is unable to be identified using XRR. It is recommended that a chemical or elemental technique be coupled with XRR for full comprehension of a material.
- XRR samples usually require flat, uniform sample surfaces with a roughness of less than 2nm for accurate results.
- Lateral inhomogeneities cannot be incorporated into XRR models.
- XRR has a longer scan time than that of SE.
- XRR is limited to films less than 100s nm, which TEM is not restricted to.

Unsure Whether XRR Is Right for You?
Our mission is to level the playing field and ensure that clients of all sizes have access to data generated accurately. Learn more about using X-ray reflectometry services today.
Sample Information
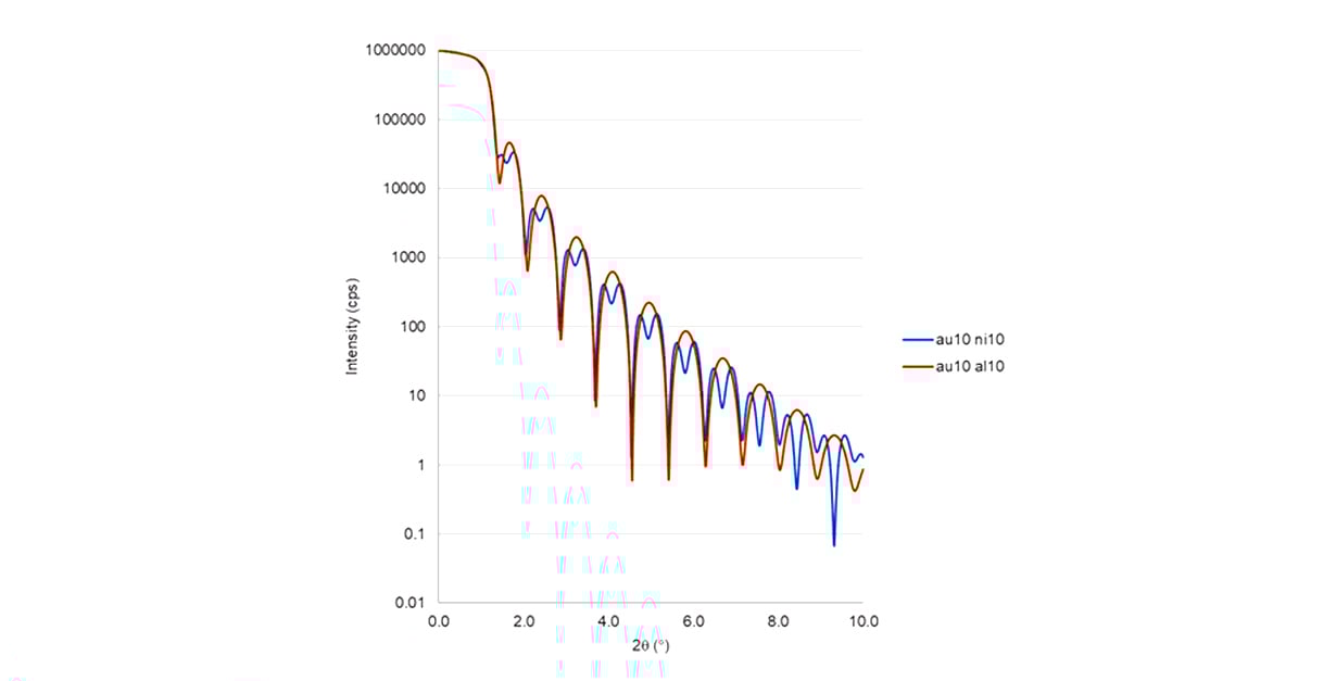
Simulated XRR pattern from two different metallic thin-film layer stacks: in orange is 10 nm Au over 10 nm Al; and in blue is 10 nm Au over 10 nm Ni. These data reflect different densities in the underlayer materials (different fringe amplitudes) but an effectively identical critical angle, indicating that this value is most heavily influenced by upper, dense layers.
What we accept:
- Samples must be solid.
- Samples must be smooth, uniform, flat, with a roughness of less than 2nm and film thickness from ~1nm to 100s of nm.
- Sample wafers must be eight inches or smaller for the in-house Rigau SmartLab.
- Sample wafers for the Rigaku XTRAIA MF-3000 can range up to 300mm.
Use Cases

Semiconductor Manufacturing
Measures thin film thickness, density, and roughness during wafer fabrication to improve process control and device performance.

Thin Film Process Development
Provides precise, non-destructive feedback on new deposition recipes and multilayer stack designs

Photonic & Optical Coatings
Validates dielectric and reflective coatings where nanometer level thickness and interface quality directly affect optical performance.

Nanostructured Materials
Analyzes ultrathin films, superlattices, and 2D materials with high resolution, enabling non-destructive assessment of complex nanoscale structures.
Complementary Techniques
- Any technique with chemical or elemental analysis is a great complement for XRR. XRR cannot determine the chemical makeup of a sample. XRR is often paired with techniques such as EDXRF/WDXRF, SEM/EDS, FTIR, or even XPS.
- Complementary techniques to further confirm film thickness and other properties are SE and TEM.
- Using the Rigaku XTRAIA MF-3000, both XRR and EDXRF characterization is possible, allowing elemental analysis as well as thickness, density, and roughness information on a wafer.
Energy Dispersive X-ray Fluorescence (EDXRF)
Quick, non-destructive material composition & thickness analysis. Explore
Fourier Transform Infrared Spectroscopy (FTIR)
Rapid, non-destructive molecular fingerprinting across materials. Explore
Spectroscopic Ellipsometry (SE)
Measures thin-film thickness & optical properties. Explore
Transmission Electron Microscopy (TEM)
Images atomic structure, defects, interfaces with sub-nm resolution. Explore
Wavelength Dispersive X‑Ray Fluorescence (WDXRF)
Non-destructive elemental composition & thin-film analysis. Explore
X-ray Photoelectron Spectroscopy (XPS)
Measures surface elemental composition and chemical states. Explore
Why Choose Covalent for Your XRR Needs?
Covalent makes sure to optimize each XRR scan to the specific sample to allow for the best possible measurements. The team is very knowledgeable and can help advanced modeling of difficult layer stacks.
We have access to the Rigaku XTRAIA MF-3000 which is unique in the sense that it allows for chemical analysis through EDXRF and thickness, roughness and density analysis through XRR on the same locations on a sample. This is an extremely powerful tool that enables mapping across wafers to understand all these properties.
Covalent has an expert team who can help you better understand materials using XRR and model complex film stacks to help shape a comprehensive knowledge of a material.
Frequently Asked Questions
Identifying the right test can be complex, but it doesn’t have to be complicated.
Here are some questions we are frequently asked.
Why XRR vs. Ellipsometry?
XRR enables thickness measurement on optically opaque films as well as films where the optical properties are unknown as thickness can be determined independent of other parameters.
What is X-ray Reflectometry (XRR) and what does it measure?
X-ray reflectometry is a non-destructive X-ray characterization technique that is used to understand top layer film thicknesses, densities and interfacial roughness of film stacks whose approximate chemistries and thicknesses are known.
What types of samples can be analyzed with XRR?
- Samples must be solid, smooth, uniform, flat, with a roughness of less than 2nm and film thickness from ~1nm to 100s of nm.
- Simple films, but also multilayer films can be analyzed as long as general knowledge of layer stack and layer thicknesses are known.
What instrumentation is required for XRR measurements?
X-ray diffractometer.
Why is XRR considered a nondestructive technique in material analysis?
XRR is based off the reflection of X-rays off the surface of the materials. The X-rays do not affect the material’s physical properties. These reflected X-rays are then interpreted and modeled to discern properties of the top layer(s) of the material.


